I was recently awarded a PhD in Astrophysics by the Jeremiah Horrocks Institute, University of Central Lancashire, working as part of the Galaxy Dynamics research group led by Prof. Victor P. Debattista. My primary research is studying the formation and evolution of Box/Peanut bulges in barred-galaxies by comparing isolated and cosmological simulations to observations of external galaxies and the Milky Way.
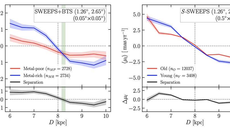
My position was funded by the Moses Holden Studentship, dedicated to Lancashire astronomer and educator. I am currently a Junior Associate of the LSST:UK Consortium as part of the Galaxies; Stars, Milky Way and Local Volume Science Collaboration and a member of the N-Body Shop. Part of my current research, Gough-Kelly et al. (2022), bridges these two memberships by making predictions for kinematic differences between populations within the Milky Way bulge.
More recent work involved hunting for bars and box/peanut bulges in IllustrisTNG, one of the largest, high-resolution simulations of the galaxy formation.
PhD in Galaxy Dynamics, 2024
Jeremiah Horrocks Institute, UCLan
MSc (by research) Astrophysics, 2019
Jeremiah Horrocks Institute, UCLan
BSc (Hons) Astrophysics, 2018
University of Central Lancashire

Using a large-scale, high-resolution magnetohydronamics cosmological simulation, we identify bars and box/peanut bulges and the galactic properties which determine their formation. We conclude that the primary driver for determinding the formation of a box/peanut bulge is the length and strength of the bar

Following a survey on the impact of the pandemic on early-career researchers, Megan Maunder, Áine O’Brien, Jack Reid, Dominic M. Bowman, Fred Richards and Steven Gough-Kelly sift the data from Generation Covid.

Using high resolution N-body+Smoothed Particle Hydrodynamics simulations of a Milky Way like galaxy, we have made predictions for the separations of longitudinal proper motion rotation curves within the bulge between differently aged populations.
Feel free to get in contact with any questions or queries.
Tweets by SGKastro